当前位置: 主页 - 人才培养 - 研究生教育 - 招生管理 正文
作者: 时间:2017-03-13 浏览:
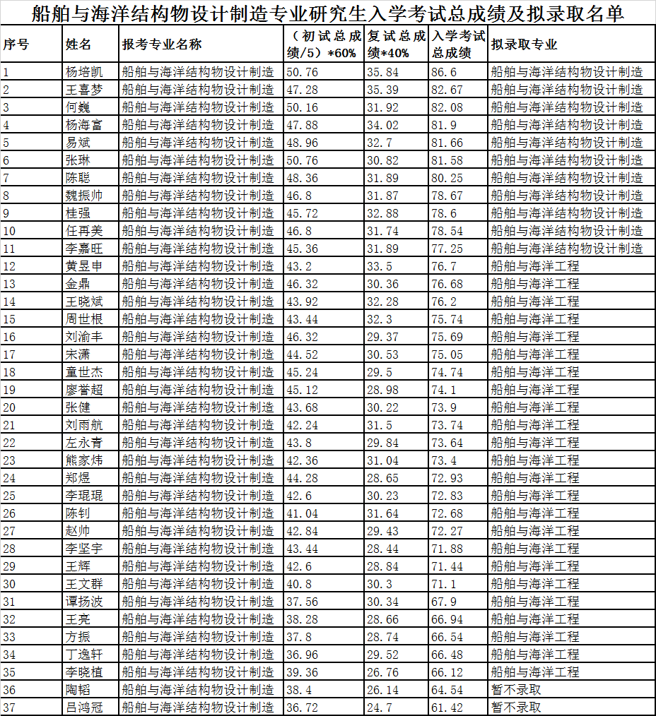
我院已根据复试细则完成了复试工作,现将考生入学考试总成绩及拟录取名单予以公示,公示期为10天。
考生如有异议,请与足球直播857 徐俊英老师联系(电话:027-87543258)。
足球直播857
2017.03.13